全讯网-皇冠网_百家乐网_全讯网娱乐 (中国)·官方网站

北理工團隊在非晶體系結構與動力學關聯上取得重要研究進展


近日,北京理工大學物理學院李艷偉研究員、姚裕貴教授同新加坡南洋理工大學數學物理學院Massimo Pica Ciamarra教授合作,在非晶體系結構與動力學關聯問題上取得重要進展。提出塑性關聯長度可用于預測較長時間尺度下非晶體系的復雜動力學行為,如動力學變慢及動力學異質性。該研究創新性的建立了塑性與動力學的關聯,為非晶玻璃化轉變這一公認學術難題提供了新的思路。該研究工作發表在物理學頂尖期刊Physical Review Letters上。

液體降溫過程中,可能會在低于結晶溫度時不結晶,形成過冷液體,進一步降溫,過冷液體會經歷玻璃化轉變形成非晶固體。玻璃化轉變機制是統計物理,軟物質物理,高分子物理等領域中的公認難題。液體-非晶固體轉變過程中,體系黏度可有近14個量級的攀升,而其靜態結構卻變化不大,保持長程無序的狀態,這與液體-晶體轉變截然不同。此外,在非晶液-固轉變過程中,體系的動力學會越來越慢,動力學關聯函數呈現兩步松弛,并伴隨體系不同區域粒子運動快慢不同等復雜而有趣的現象。玻璃體系動力學與體系結構有沒有關系,如果有關系,是什么樣的結構性質決定體系的動力學的?圍繞這一問題,文獻中報道了諸如基于局部彈性性質與動力學的關聯,如通過描述粒子振動強度的Debye-Waller因子,或其簡諧近似下的均方位移,或低頻振動模的參與分數來預測體系中的快慢粒子。然而這些彈性性質在較短時間與動力學有對應關系,而在較長時間尺度,如弛豫時間的尺度,與動力學關聯較弱。尋求新的視角理解玻璃化轉變中結構與動力學的關聯顯得尤為重要。

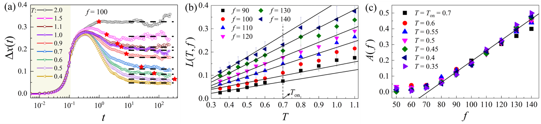
圖1 (a) 對粒子施加一外力,其大小f = 100時 (陰影區時間間隔內),粒子平均位移隨時間的變化,黑色虛線表示較長時間下平均位移趨近一平臺值,即不可逆位移L(T, f)。(b) 不同外力大小時,不可逆位移L(T, f)隨溫度的依賴規律。

團隊設計了新的探測玻璃體系靜態結構的手段,具體為,在短時間內,對粒子施加一固定大小,方向隨機選取的力,觀察撤去力之后,粒子不能回彈的位移,即不可逆位移有多大。圖1(a)展示了當對粒子在0.1(約化單位)時間間隔內施加一外力大小為f = 100(約化單位)的力時,粒子平均位移隨時間的演化規律。較長時間下,此平均位移趨近一平臺值,即黑色虛線標出的不可逆位移L(T, f),顯然,溫度越低,不可逆位移L(T, f)越小。近一步的研究發現,L(T, f)正比于 T  -  T 0 (圖1 (b)),其中 T 0為Vogel–Fulcher–Tammann (VFT) 方程預測的非晶體系的理想玻璃化轉變點,因此,L(T, f)在理想玻璃化轉變點外推為0。進一步分離變量,我們可得到L(T, f) = ξ(T)A(f), 其中塑性長度ξ(T)∝( T  -  T 0 ), A(f) ∝( f  -  f 0)。塑性長度ξ(T)與體系弛豫時間存在指數依賴關系(圖2),因此建立了塑性長度與非晶體系慢動力學的聯系。

圖2 體系弛豫時間與塑性關聯長度的依賴關系。

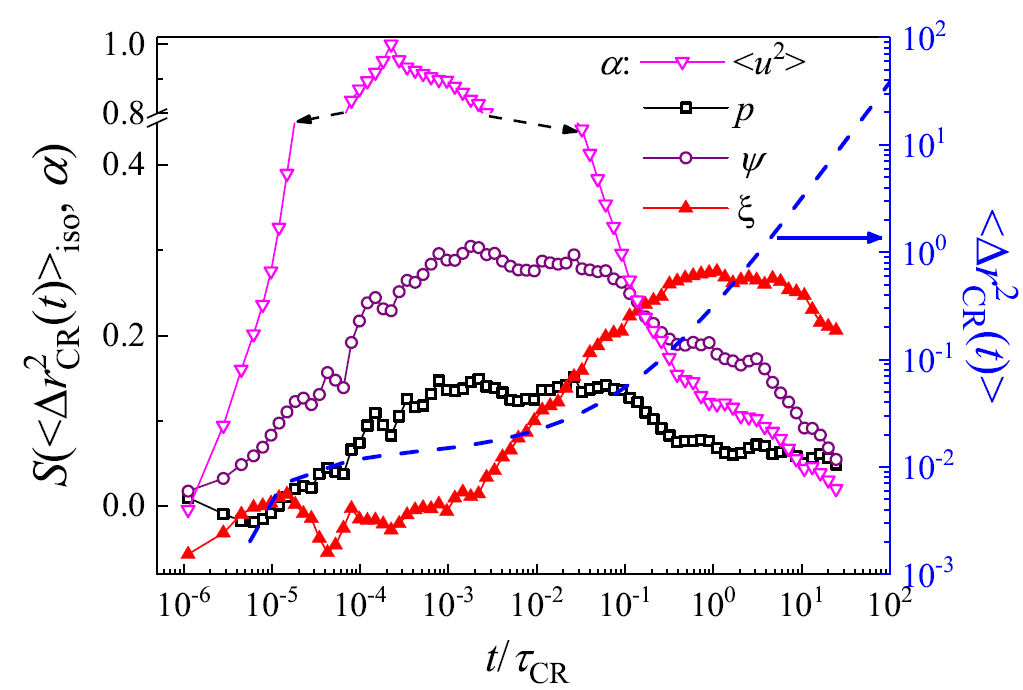
為了探索塑性長度與體系動力學異質性之間的關聯,計算了每個粒子的同構型(iso-configurational ensemble)系綜下的平均均方位移<? r 2CR( t )>iso,并通過Spearman等級相關系數定量表征了動力學參數<? r 2CR( t )>iso與靜態參數的關聯。為了對比,靜態參數除了我們提出的塑性長度外,還包含三個常見的通過彈性性質定義的量,包括Debye-Waller因子< u 2>,其簡諧近似下的均方位移ψ,以及低頻振動模的參與分數p。結果表明,彈性性質的相關量僅在較小的振動尺度與動力學存在關聯,而塑性長度在弛豫時間或更長時間尺度與動力學存在關聯 (圖3)。這展現出塑性長度可能是與體系弛豫行為更相關的一個靜態量。為玻璃化轉變結構與動力學關聯問題探索了一個新思路。

圖3 不同的靜態量包括Debye-Waller因子< u 2>,其簡諧近似下的均方位移ψ,低頻振動模的參與分數p,以及塑性長度ξ與動態量<<?r2CR(t)>>的Spearman等級相關系數S。

相關工作發表在Physical Review Letters上,北京理工大學物理學院李艷偉研究員為第一作者兼通訊作者,北京理工大學物理學院姚裕貴教授和新加坡南洋理工大學Massimo Pica Ciamarra為論文共同通訊作者。該工作第一單位為北京理工大學物理學院,并得到國家自然科學基金、北京理工大學青年學者學術啟動計劃等項目的支持。


分享到:

大发888官网 官方| 九运2024年-2043年| 新葡京百家乐官网现金网| 聚众玩百家乐官网的玩法技巧和规则 | 百家乐官网路技巧| 娱乐城注册送礼金| 网络百家乐的陷阱| 乐天堂百家乐娱乐场| 澳门赌场着装| 名人百家乐官网的玩法技巧和规则 | 网上棋牌游戏| 百家乐官网技巧开户| 百家乐官网路单之我见| 大发888真人娱乐场游戏| 微信百家乐官网群资源| 88娱乐城网址tlyd| 百家乐开户导航| 大发888yulecheng| 百家乐制胜秘| 百家乐官网玩法介绍图片| 微山县| 新2百家乐娱乐城| 代理百家乐官网最多占成| 尊龙国际娱乐| 百家乐投注助手| 挖掘百家乐官网赢钱秘籍| 百家乐网站平台| 百家乐官网娱乐天上人间| 大发888官网e世博官方网站| 鑫鑫百家乐的玩法技巧和规则| 百家乐官网平六亿财富网| 今晚六合彩开奖结果| 骰子百家乐的玩法技巧和规则| 六合彩百家乐有什么平码| 罗盘24山珠宝火坑| 新世纪百家乐官网的玩法技巧和规则 | 泰山百家乐官网的玩法技巧和规则| 现金博彩网| 免费百家乐官网平预测软件| 反赌百家乐官网的玩法技巧和规则 | 百家乐游戏种类|