全讯网-皇冠网_百家乐网_全讯网娱乐 (中国)·官方网站

北理工在能谷電子學研究方面取得重要進展


  日前,北京理工大學姚裕貴教授團隊成員余智明及其合作者,在能谷電子學研究方面取得重要進展,不僅提出了電場調控能谷的全新設計理念,也預言了具有優良性能的谷層耦合材料,為能谷電子學的發展起到了重要的推動作用。

  能谷電子學作為一新興的研究領域,利用固體材料中的能谷自由度來存儲和傳遞信息,有望發展成為與傳統電子學和自旋電子學并立的電子學學科。目前關注度高的能谷材料主要集中在石墨烯和過渡金屬硫化物等二維六角格點材料。該類材料具有兩個分立但受時間反演對稱性相聯系的能谷,因此在此類材料中實現能谷的調控必須破壞時間反演對稱性,如引入磁性或光場。但從實際應用出發,電場因具有簡潔、高效且與當前半導體工藝相兼容等優點,更為適合用于器件的調控。然而,電場并不破壞時間反演對稱性,因此在二維六角格點能谷材料中完全用電學手段來調控能谷自由度是無法實現的,十分不利于能谷電子學的應用發展。

圖 1:(a)多原子層二維材料可看成由上下兩層構成。上層和下層可能含有多個原子層。不同的能谷電子(紅色或藍色)分別局域在上層和下層。(b)當不同能谷電子具有相反的層極化(P)時,施加垂直電場可導致能谷極化。虛線和實線分別表示未加和已加電場時的能帶。

圖 2:ML-TSCO 的(a) 側視圖(b)俯視圖。(c)ML-TSCO的布里淵區,(d)ML-TSCO的聲子譜。

  該研究工作首先基于絕大多數二維材料具有多個原子層的特點,通過系統性地分析所有層群對稱性,指出在5個特殊的層群體系中,只要能谷出現在特定的動量位置,能谷和電子的層極化必然耦合在一起,產生谷層耦合效應,如圖1所示。在谷層耦合的能谷材料中,人們可以通過電場(門電壓)高效、便捷地調控能谷,如圖1b所示。該理論分析直接把搜尋和設計電控能谷材料簡化為計算特定5個層群材料的電子能帶,為谷電子學的發展帶來了極大的便利。隨后,該工作即根據上述理論分析,設計出59號層群材料ML-TSCO。該材料的晶體結構同實驗已合成的ZrSiS單層結構類似,具有5個原子層,由O、Ti、Si/C、Ti和O原子層相繼垂直堆垛而成,如圖2所示。

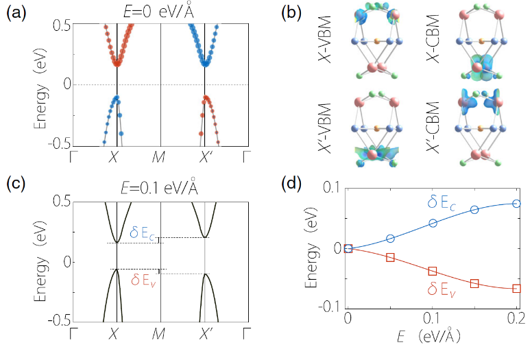
圖 3:(a)ML-TSCO的能帶圖,(b)導帶底和價帶頂電子的電荷空間分布圖,(c)ML-TSCO在施加0.1電子伏每埃的垂直電場后的能帶圖。此時導帶和價帶的能量劈裂都已超過室溫能標。(d)ML-TSCO的導帶劈裂和價帶劈裂隨電場的變化。

  ML-TSCO的電子能帶清楚的表明,其為谷層耦合材料:兩能谷分別局域于動量空間中的X點和X’點,并具有相反的層極化,如圖3a和3b所示。圖3c和圖3d則給出了ML-TSCO能帶隨垂直電場的變化行為,其直接表明,電場可導致體系的能谷發生極化,且在0.1電子伏每埃的電場下,ML-TSCO的能谷極化就已達到40毫電子伏特左右,遠超室溫能標。此外,ML-TSCO的能谷電子的電導具有很強的各向異性,如X點的能谷電子在x方向的有效質量比其在y方向的有效質量重5倍左右,而X’點則恰好相反,因此通過電導的測量可以推測出極化電子的能谷自由度。該工作表明ML-TSCO是可在室溫條件下進行全電讀寫能谷自由度的、性能優良的能谷材料。

圖 4:(a)ML-TSCO的能谷光學選擇性。(b,c)x和y線偏光可導致具有相反能谷自由度(X’和X)和相反電偶極矩的層間激子。

  最后,該研究工作也基于ML-TSCO討論了谷層耦合所帶來的奇異物性,如ML-TSCO的能谷電子具有線偏光選擇性;ML-TSCO天然地具有層間激子,且此層間激子的能谷自由度和電偶極矩可以通過線偏光進行控制,如圖4所示。

  該文章發表于物理學頂級期刊《Physical Review Letters》,作者為余智明、管閃、勝獻雷、高煒博和楊聲遠(Zhi-Ming Yu, Shan Guan, Xian-Lei Sheng, Weibo Gao, and Shengyuan A. Yang),“Valley-Layer Coupling: A New Design Principle for Valleytronics”, Physical Review Letters, 124, 037701 (2020)。

  文章鏈接:https://doi.org/10.1103/PhysRevLett.124.037701

 

分享到:

视频百家乐官网平台出租| 2024年九运的房屋风水| 喜达百家乐官网的玩法技巧和规则| 风水学坐向24山| 大发888真人赌博| 澳门百家乐官网游戏| 网上百家乐赢钱公式| 威尼斯人娱乐城首存优惠| 百家乐官网最新打法| 百家乐官网tt娱乐场| 百家乐平玩法可以吗| 年辖:市辖区| 哪个百家乐官网技巧平台信誉好 | 华侨人百家乐官网的玩法技巧和规则| 威尼斯人娱乐城怎么样| 百家乐官网五子棋| 24山的丑方位| 澳门赌场老板| 百家乐的寻龙定穴| 沙坪坝区| 全讯网下载| 稳赢的百家乐投注方法| 百樂坊娱乐场| 鑫鑫百家乐的玩法技巧和规则| 百家乐官网筹码多少钱| 澳门百家乐玩法心得技巧| 驻马店市| 大发888官网游| 新濠百家乐官网娱乐城 | 百家乐官网博之道娱乐城| 将军百家乐的玩法技巧和规则| 百家乐官网平注法到656| 娱乐城注册送68| 百家乐太阳城开户| 万豪网上娱乐| 百家乐mediacorp| 阜新市| 大发888娱乐城官网| 济州岛百家乐官网的玩法技巧和规则| 竞彩足球推荐| 大发888娱乐场 17|