全讯网-皇冠网_百家乐网_全讯网娱乐 (中国)·官方网站

北理工團隊在海洋氣溶膠增長機制研究方面取得重要進展


近日,北京理工大學化學與化工學院/原子分子簇科學教育部重點實驗室張秀輝教授團隊與中科院生態環境中心賀泓研究員團隊和美國賓夕法尼亞大學Joseph S. Francisco教授團隊合作,在海洋氣溶膠增長機制研究方面取得重要進展。相關研究成果以“Chemical Implications of Rapid Reactive Absorption of I2O4 at the Air-Water Interface”為題,在國際頂級化學期刊《美國化學會志》( Journal of the American Chemical Society , JACS )上發表(DOI: 10.1021/jacs.3c01862)。該工作以北京理工大學為第一通訊單位,張秀輝教授、賀泓研究員和Joseph S. Francisco教授為共同通訊作者,北京理工大學化學與化工學院博士后寧安與中國石油大學鐘杰教授為該論文的共同第一作者。

海洋氣溶膠構成了全球最大的自然源氣溶膠體系,對全球的輻射平衡、氣候變化乃至人們的生活都有著重要影響。盡管已有研究表明含碘物質與海洋氣溶膠的形成密切相關,但其參與的氣溶膠增長機制尚不清楚。已有實驗室研究表明,碘氧化物(I x O y )是氣溶膠粒子形成的重要組分(其中四氧化二碘I2O4濃度最高)。然而,外場檢測到的氣溶膠粒子的主要碘組分為IO3-離子,卻未檢測到碘氧化物。實驗室與外場觀測上的分歧難以用當前的化學反應機制來解釋,這很大程度上限制了人們對碘氧化物如何影響海洋氣溶膠形成的理解。

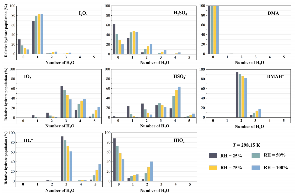
北京理工大學張秀輝教授團隊及其合作者通過量子化學計算與第一性原理分子動力學模擬相結合的方案揭示的大氣中硫酸和胺類物質影響下的I2O4的氣-液界面(即液相氣溶膠表面)上的非均相反應機制則較好地解釋了上述分歧問題。由于真實大氣中的化學組分遠比“單純”的實驗環境更為復雜,除碘氧化物外,還存在著污染物硫酸、以及海洋類生物排放生成的胺類組分。她們合作研究發現,在硫酸和有機胺的參與下,I2O4可在氣溶膠氣-液界面快速(皮秒級別)反應(圖1)生成亞碘酸HIO2以及一系列離子產物,如HSO4-、IO3-、DMAH+等。所生成的反應產物間可通過氫鍵、鹵鍵和離子鍵結合為尺寸更大的復合物,進而限制其向液滴體相的擴散;同時,界面水分子通過氫鍵與產物分子結合,使其難以蒸發至氣相(圖2)。且上述附著于液滴表面的產物(IO3-/DMAH+等)相比于反應物(I2O4/DMA等)有更低的揮發性和更高的吸濕性(圖3),還可促進氣溶膠的吸濕性增長。

圖1. 硫酸、有機胺影響下的I2O4的氣-液界面反應機制

圖2. I2O4的氣-液界面反應產物

圖3. I2O4氣-液界面反應物/產物的水合分布

綜上,該研究揭示的硫酸和有機胺影響下的I2O4在氣溶膠氣-液界面的反應機制不僅解釋了實驗室與外場觀測上的分歧,而且有助于理解碘化學的非均相反應過程及其對氣溶膠增長的影響機制。同時還揭示了海洋氣溶膠中HSO4-/IO3-等重要組分的新來源,進而對深入理解海洋大氣碘化學與氣溶膠形成間的聯系提供了理論線索。

該研究得到了國家杰出青年科學基金(22225607)和國家自然科學基金(21976015和22188102)的支持。

文章鏈接:https://pubs.acs.org/doi/10.1021/jacs.3c01862


附作者簡介:

張秀輝,北京理工大學教授,博士生導師,國家杰出青年科學基金獲得者。2007年北京理工大學博士畢業并獲全國百篇優秀博士論文提名。主要從事大氣顆粒物形成機制的理論研究工作,以通訊或第一作者在 J. Am. Chem. Soc. , Angew. Chem. Int. Ed. , Proc. Natl. Acad. Sci. USA 等期刊發表SCI論文60余篇。以第三完成人獲教育部自然科學二等獎、中國兵器集團公司科學技術二等獎等。培養的1名博士生獲中國顆粒物學會優秀博士論文。


分享到:

龙博娱乐| 百家乐官网冲动| 赌场百家乐技巧| 杭州百家乐西园| 百家乐园百乐彩| 至尊百家乐年代| 百家乐官网双面数字筹码| 百家乐赢钱公式冯耕| 德州扑克荷官招聘| 抚顺市| 赌博百家乐的路单| 巴林右旗| 百家乐官网缩水软件| 全讯网网址| 百家乐平注法到65688| 金百家乐官网的玩法技巧和规则| 聂荣县| 广州百家乐官网扫描分析| 玩百家乐是否有技巧| 皇家国际娱乐| 百家乐技巧玩法技巧| 百家乐官方网址| 百家乐官网封号| 赌百家乐官网的体会| 百家乐新送彩金| 真人百家乐官网怎么玩| 财神娱乐城打不开| 金杯百家乐官网的玩法技巧和规则| 大发888登录| 澳门百家乐送彩金| 百家乐技术交流群| 香港百家乐官网的玩法技巧和规则| 泰和县| 百家乐百家乐游戏| 大港区| 巴宝莉百家乐的玩法技巧和规则| 百家乐官网五湖四海娱乐场开户注册| 百家乐官网视频下载地址| 千亿国际| 百家乐77s| 网页百家乐官网游戏下载|