全讯网-皇冠网_百家乐网_全讯网娱乐 (中国)·官方网站

北理工團隊在磁性拓撲半金屬反常與自旋輸運性質的研究中取得重要進展


近日,北京理工大學物理學院姚裕貴、馮萬祥教授團隊在磁性拓撲半金屬的研究中取得重要進展,發現了無序和拓撲增強的反常和自旋輸運性質。研究成果發表于物理學頂級期刊Physical Review Letters。

反常電荷與自旋輸運現象一直是凝聚態物理學中的熱門研究議題,也是實現自旋電子學器件最具競爭力的方式之一。典型的反常電荷與自旋輸運現象包括反常/自旋霍爾效應和反常/自旋能斯特效應,分別描述磁性材料中由縱向電場或溫度梯度引起的橫向電荷/自旋流的物理現象。最近的理論和實驗研究表明,磁性拓撲材料中的外爾點或節線處會產生極大的貝里曲率,進而導致拓撲增強的反常和自旋輸運行為。然而,有兩個關鍵科學問題一直沒有解決:其一,過去只關注貝里曲率導致的內稟機制,而由無序引起的外在機制對磁性拓撲材料中反常和自旋輸運性質的貢獻仍不清楚;其二,過去研究的磁性拓撲材料在費米能級附近總是存在一些拓撲平庸的能帶,拓撲電子結構與反常和自旋輸運性質實際上并沒有一個非常清楚的聯系。

圖1 (a-c) 自旋零帶隙節線半金屬 M F3 ( M = Pd, Mn)的晶體結構、布里淵區與自旋極化能帶結構;(d) 自旋零帶隙節線半金屬中由反常/自旋霍爾效應、反常/自旋能斯特效應引起的完全自旋極化的橫向電荷/自旋流示意圖。

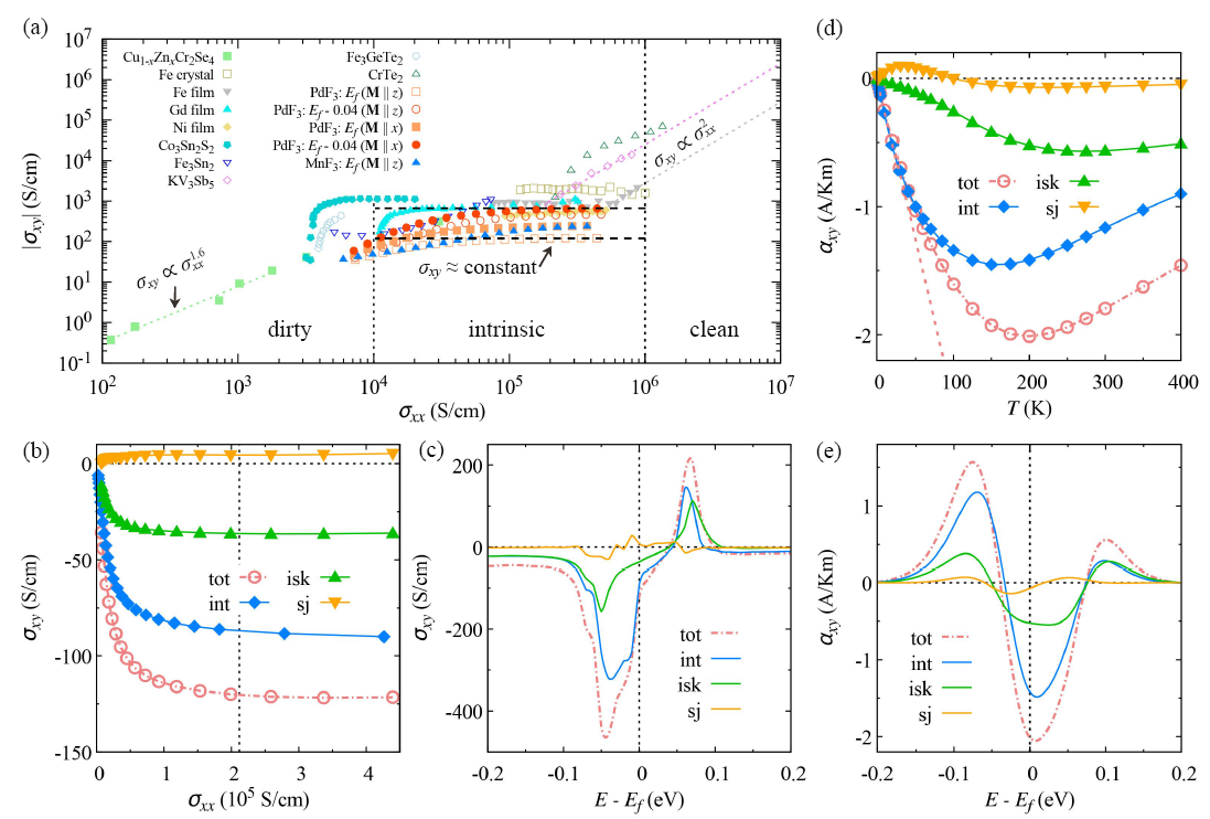
北京理工大學物理學院姚裕貴團隊長期致力于反常輸運現象的研究,為解決以上兩個問題,基于該團隊2020年提出的一種新型磁性拓撲量子材料——自旋零帶隙節線半金屬【Phys. Rev. Lett. 124, 016402 (2020)】,他們詳細地研究了這類材料的內稟與外在反常與自旋輸運性質。這里以 M F3 ( M = Pd, Mn)為例,其電子結構在費米能級處展示出具有超干凈的完全自旋極化的節線半金屬態,可以實現超高的費米速度與100%自旋極化率,為探索拓撲電子結構對反常與自旋輸運性質的貢獻提供了一個絕佳的材料平臺,可以排除所有平庸能帶的干擾(如圖1)。此外,研究團隊定量計算了貝里曲率導致的內稟機制和無序引起的外在機制(包括斜散射與邊跳機制)對反常與自旋輸運性質的貢獻。結果顯示,內稟機制起主要貢獻,邊跳機制幾乎可以忽略,但斜散射機制會進一步提高反常與自旋輸運信號(如圖2)。 M F3 ( M = Pd, Mn)的反常霍爾與反常能斯特電導分別可以達到650 S/Cm和2.8 A/Km,后者比傳統鐵磁材料(0~1 A/Km)幾乎大了一個量級。該研究工作不僅清晰地建立了拓撲電子結構與反常輸運之間的聯系,也加深了對磁性拓撲材料中反常輸運的內稟與外在機制的理解。據此,研究團隊提出自旋零帶隙節線半金屬這類性能優異的磁性拓撲材料可以顯著地提高能量轉換效率,為實現低能耗、高集成度的新型拓撲自旋電子學器件提供了新的材料平臺。

圖2 (a-b) 自旋零帶隙節線半金屬 M F3 ( M = Pd, Mn)的反常霍爾電導率及其不同物理機制的貢獻隨著縱向電導率的變化關系;(c) 不同物理機制下的反常霍爾電導率隨著費米能級的變化關系;(d-e) 不同物理機制下的反常能斯特電導率隨著溫度和能量的變化關系。

該工作的第一單位為北京理工大學。北京理工大學物理學院的馮萬祥教授、姚裕貴教授和德國于利希研究中心的Yuriy Mokrousov副教授為論文的共同通訊作者,物理學院博士生周小東為論文的第一作者,博士后張閏午、博士生楊修先、博士生李小平為論文的共同作者。該工作得到科技部重點研發計劃、國家自然科學基金委、北京理工大學科技創新計劃人才項目、中德國際合作項目的支持。

Xiaodong Zhou, Run-Wu Zhang, Xiuxian Yang, Xiao-Ping Li, Wanxiang Feng*, Yuriy Mokrousov*, and Yugui Yao*, “Disorder- and Topology-Enhanced Fully Spin-Polarized Currents in Nodal Chain Spin-Gapless Semimetals”, Phys. Rev. Lett. 129, 097201 (2022). (*為通訊作者)

文章鏈接:https://doi.org/10.1103/PhysRevLett.129.097201


分享到:

百家乐官网高返水| 威尔斯人线上娱乐| 博盈百家乐官网游戏| 网上赌百家乐官网有假| 现金游戏网| 玩百家乐官网澳门皇宫娱乐城| 百家乐视频画面| 百家乐官网打水套利| 找查百家乐玩法技巧| 威尼斯人娱乐城投注网| 澳门百家乐官网有哪些| 大发888注册娱乐账号| 阴宅24层手机罗盘| 百家乐官网赌王有哪些| 大发888黄金版下载| 博网百家乐官网现金网| 致胜百家乐的玩法技巧和规则| 百家乐赌缆十三式| 大发888娱乐城 df888ylc3403| 百家乐官网如何抽千| 恒和国际| 大发888博彩网站xa11| 百家乐游戏辅助| 百家乐官网哪条路准| 百家乐官网有看牌器吗| 瑞鑫棋牌下载| 百家乐赢谷输缩| 永利高百家乐怎样开户| 真博百家乐官网的玩法技巧和规则| 大发888娱乐场lm0| 乐天百家乐官网的玩法技巧和规则| 博狗备用网址| 大发888优惠代码 官网| 真人百家乐官网| 网络百家乐官网必胜投注方法| 摩纳哥百家乐的玩法技巧和规则| 发中发百家乐官网的玩法技巧和规则 | 九寨沟县| 飞7棋牌游戏| 大发888下载 df888| 大发888娱乐城.com|