全讯网-皇冠网_百家乐网_全讯网娱乐 (中国)·官方网站

北理工團隊在平臺毛利保護契約方面取得重要研究進展


a4564a5abb32453a89ca0d2f5023596f.png

在國家自然科學基金項目資助下,由北京理工大學鄭鴻博士、李果教授,與復旦大學田林教授組成的研究團隊,基于平臺供應鏈場景,揭示了毛利保護契約的作用機制,分析了毛利保護契約對平臺供應鏈的系統性影響,為我國合理監管平臺對毛利保護契約的使用提供了理論依據。研究成果以“是福還是禍? 競爭環境下毛利保護契約作用機制研究(A Bane or a Boon? Profit-Margin-Guarantee Contract in a Channel with Downstream Competition)”為題,于2023年7月在《Production and Operations Management》期刊上正式發表。

數字化平臺作為數字經濟的重要組織范式,在賦能實體產業鏈供應鏈的同時,也因為權力結構失衡產生了不公平契約等問題。其中,除“二選一”政策外,最備受爭議的是“毛利保護契約”。為此,科學分析毛利保護契約的系統性影響成為平臺供應鏈健康發展亟待解決的關鍵性問題。

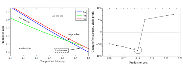
該研究構建了競爭環境下毛利保護契約的理論研究模型,通過科學方法量化分析了毛利保護契約對平臺供應鏈成員的收益影響,并提出了提升平臺供應鏈整體運營效率的優化策略。研究發現,供應商可以策略性地調整批發價格影響平臺對于觸發毛利保護契約的動機。同時,毛利保護契約的實施雖然可能會提高供應商、簽約平臺或未簽約平臺的收益,但“三方共贏”的局面不會存在。相反,會出現“三方共輸”的情形(圖);數值結果顯示,該情形下,毛利保護契約會導致平臺供應鏈整體利潤降低約7.5%。合理監管毛利保護契約的使用,有助于平臺供應鏈的持續健康發展,加快促進實體經濟與數字經濟的深度融合。

image.png

毛利保護契約對平臺供應鏈的收益影響

《Production and Operations Management》是美國德克薩斯大學達拉斯分校遴選的24本商學院頂級學術期刊(簡稱UTD 24)之一,也是金融時報評定的50本商學院頂級學術期刊(簡稱FT50)之一,也是英國商學院協會(ABS)評選出的4星級期刊,在國際管理學界享有較高的學術聲譽。

論文鏈接:https://onlinelibrary.wiley.com/doi/10.1111/poms.13958。

論文詳情: Hong Zheng, Lin Tian, Guo Li*. A bane or a boon? Profit-margin-guarantee contract in a channel with downstream competition. Production and Operations Management, 2023, 32(7), 2087-2100.



分享到:

博狗博彩网站,| 现金游戏平台| 棋牌游戏平台排行榜| 百家乐官网最佳注码法| 筒子二八杠分析仪| 英皇百家乐官网的玩法技巧和规则 | 百家乐棋| 百家乐官网能破解| 网上真人娱乐场| 百家乐视频游戏中心| 百家乐官网散台| 百家乐注码调整| 利来国际网址| 香港百家乐的玩法技巧和规则| 百家乐官网网站排名| 威尼斯人娱乐城代理合作| 百家乐官网娱乐送白菜| 皇博娱乐| 单双和百家乐官网游戏机厂家| 威尼斯人娱乐场28gxpjwnsr| 巴西百家乐官网的玩法技巧和规则 | 菲律宾百家乐官网娱乐网| 威尼斯人娱乐网反水| 百家乐磁力录| 誉博百家乐官网327589| 葡京百家乐官网玩法| 赌场百家乐实战| 百家乐视频游戏大厅| 百家乐官网高级技巧| 申城棋牌2.0| 百家乐赌场软件| 百家乐游戏真人游戏| 新乐园百家乐官网娱乐城| 百家乐官网六手变化混合赢家打法| 新太阳城娱乐城| 成人百家乐的玩法技巧和规则| 菠菜百家乐娱乐城| 金臂百家乐官网注册送彩金| 星河国际娱乐场| 大发在线体育| 大发888体育在线投注平台|