全讯网-皇冠网_百家乐网_全讯网娱乐 (中国)·官方网站

北理工課題組在單原子高效電催化二氧化碳還原方面取得重要研究進展



二氧化碳的電化學轉化為生產燃料和原料,國家的雙碳戰略提供了一條途徑。在不同的CO2電化學還原(CO2RR)途徑中,通過2電子轉移反應生成一氧化碳(CO)是將其轉化為更復雜的產物的第一步,也被認為是最經濟的CO2還原途徑之一。在各種M-N-C催化劑中,Fe-N-C具有常見的FeNx配位結構,有望在不久的將來取代傳統的貴金屬基CO2RR催化劑。對于Fe-NC型電催化劑,*COOH的形成需要較大的能壘,由于*CO在活性位點上的結合相對較強,CO的解吸也比較困難。因此,提高Fe-N-C電催化劑CO2-CO轉化效率的關鍵在于促進*COOH生成(質子化)和優化*CO的結合強度(解吸)。雜原子O的電負性強于最常見的N, 對調控Fe單原子的微環境,提升催化性能有重要意義。傳統的ZIF-8是最常見的MOF骨架,但由于母體ZIF結構中存在M-N配位鍵,熱解得到的SACs總是 M-N4配位構型,通過外部引入O原子,在大于500℃的熱解溫度下,O原子極易揮發難以得到Fe-O配位的催化劑。目前,亟需尋找一種新型的MOF載體,以助于在高溫熱解過程中形成Fe-O配位,調控Fe原子界面,促進高效電化學還原CO2

基于此,來自北京理工大學化學與化工學院的張加濤教授,趙娣研究員與清華大學陳晨教授等合作,在國際知名期刊Energy& Environmental Science上發表題為“Atomic-Level Engineering Fe1N2O2 Interfacial Structure Derived from Oxygen-Abundant Metal–Organic Frameworks to Promote Electrochemical CO2 Reduction”的研究文章。本文選用Zn-MOF-74作為富氧前驅物進行合成調控,通過摻雜Fe離子得到Fe/Zn-MOF-74,引入N源后煅燒,最終得到具有特殊配位結構的Fe1N2O2/NC催化劑,展現出了優異的電催化二氧化碳還原性能,(北理工趙娣、研究生宋鵬宇、清華大學余坷為共同一作,北京理工大學為第一完成單位)。

圖1. 制備Fe1N2O2/NC的制備過程及形貌表征。

該工作選用Fe摻雜的Zn-MOF-74作為前體進行合成調控。Fe占據原MOF中的Zn位點,與有機配體中的O原子進行配位,進一步引入N源,在高溫煅燒條件下,Zn揮發,Fe-O配位團簇會被部分Fe-N配位取代,最終得到具有特殊配位結構的Fe1N2O2/NC 催化劑。通過TEM、HRTEM 表征結果能夠觀察到Fe1N2O2/NC良好的棒狀形貌。EDS mapping 圖像證明了催化劑中Fe,N,O,C的均勻分布,HAADF-STEM得到的EELS點譜進一步有力證明了在Fe1N2O2/NC中,Fe、O、N的共存,表明單個鐵被C內部的N和O共同錨定。HAADF-STEM圖像上孤立的亮點表明Fe單原子的高度分散。

圖2. 通過N2吸脫附等溫線,XPS、同步輻射對Fe1N2O2/NC的形成展開分析。

通過對引入N源和未引入N源等不同階段的BET和形貌等進行分析,得出N源的引入不僅能夠有助于形貌的維持,還有助于Fe單原子的形成。通過對引入N源的Fe/Zn-MOF-74進行不同溫度下(0℃,250℃,500℃,750℃及1000℃)煅燒產物的XRD,XPS及同步輻射表征以研究催化劑結構的生成過程。Fe k邊XANES光譜顯示,不同溫度下煅燒的樣品均在1-2 ?處都有一個主要的峰,可以歸因于第一殼層金屬- N /O。隨著反應溫度的升高,峰強度降低,峰位略微向左偏移,說明局部配位數相應降低,形成了混合Fe-N/O的配位構型。進行定量EXAFS分析表明,熱解前,Fe原子的第一殼層由Fe - O鍵組成,配位數為6 (5個來自有機配體,1個來自吸附的O物種)。500℃碳化后,吸附的O2或水被去除,中間體的平均配位數為5。當溫度進一步升高到750℃時,平均配位數降低到4.7,Fe-N散射路徑出現,表明氨中的N原子開始取代框架中的O原子。最終在1000℃下得到Fe1N2O2/NC催化劑,配位數約為4。

圖3. 與NC,Fen/C相比下Fe1N2O2/NC 的電化學性能

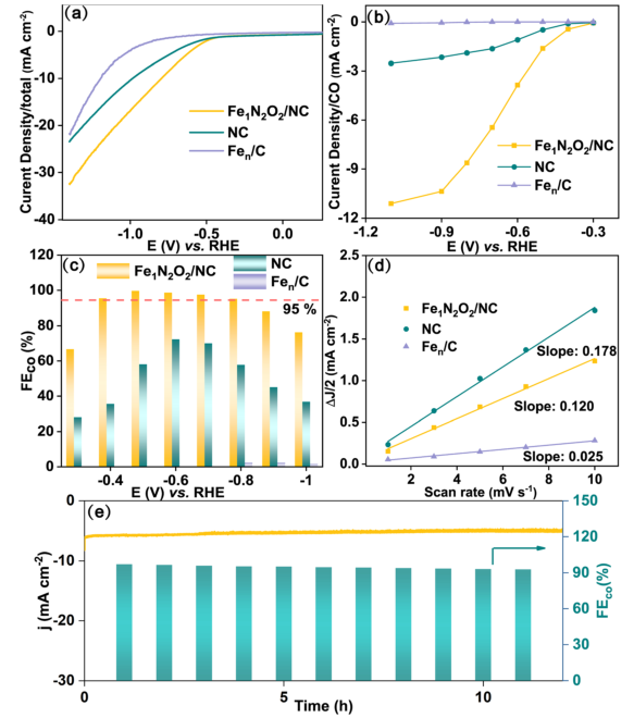
在CO2飽和的0.1 M KHCO3溶液中評估了催化劑的電化學CO2還原性能。從LSV曲線可以看出,與NC和Fen/C相比,Fe1N2O2/NC在-300 mV時對可逆氫電極(RHE)的起始電位更小,在測量電位范圍內的電流密度更高。在典型的三電極H型電池中進一步進行了不同電位下的CO2恒電位電解。在-0.7 V時,Fe1N2O2/NC的jCO高達6.5 mA cm-2,遠高于相同電位下的對比樣品 (NC為1.5 mA cm-2, Fen/C幾乎為0 mA cm-2)。Fe1N2O2/NC電催化劑在- 0.4 ~ - 0.8 V的極寬電位范圍內,FECO >的選擇性高達95%,值得指出的是,在- 0.5 V時,FECO高達99.7%,優于目前大多數報道的Fe單原子催化劑。在-0.7V電位下電解12h,CO法拉第效率和偏電流密度衰減可以忽略不計,展示出優異的穩定性。

圖4. 理論計算揭示Fe1N2O2/NC催化劑優異性能的原因

計算表明,與其他模型相比,Fe1N2O2構型最有助于CO的解吸,Fe1N4中的Fe位更容易吸附CO,從而不利于CO解吸。CO@Fe1O4的PDOS出現了明顯的自旋極化現象,因此CO分子會被牢牢地困在催化劑表面,從而增加了CO解吸的難度。電荷密度結果顯示,Fe1O4由于自旋極化較強,電子流失較少,大部分電子集中在CO上,導致吸附較強,CO解吸困難。此外,與其他模型相比,CO@Fe1N2O2和Fe1N2O2之間的Fe位點Bader變化差異最大,進一步說明CO@Fe1N2O2比其他模型更容易釋放吸附后的CO,從而提升反應性能。

論文標題:Atomic-Level Engineering Fe1N2O2 Interfacial Structure Derived from Oxygen-Abundant Metal–Organic Frameworks to Promote Electrochemical CO2 Reduction

論文網址:https://pubs.rsc.org/en/content/articlelanding/2022/ee/d2ee00878e

DOI:10.1039/d2ee00878e

此外,基于該工作,研究生宋鵬宇于2022年8月受邀在《Chemistry An Asian Journal》雜質上發表題為“Microenvironment Modulation in Carbon-Supported Single-Atom Catalysts for Efficient Electrocatalytic CO2 Reduction”的綜述,針對碳基單原子配位調控:包括第一配位殼層、第二及更高配位殼層及雙活性位點調控,應用于電催化二氧化碳還原進行了全面闡述,為應用于電催化二氧化碳還原的單原子催化劑設計提供了獨特見解。

文章網址:https://doi.org/10.1002/asia.202200716

DOI:10.1002/asia.202200716


附作者簡介:

趙娣,2017年于北京理工大學獲得博士學位。同年,在清華大學化學系做博士后,于2020年加入北京理工大學,現任化學化工學院預聘副教授。研究方向包括納米、團簇、單原子催化劑合成及催化性能研究。相關研究成果在 J. Am. Chem. Soc.、Angew. Chem. Int. Ed.、Chem. Soc. Rev.、Energy Environ. Sci.、Nano Energy 等國際學術期刊上發表相關論文近 20 篇,部分論文被邀請做雜志封面和被 C&EN 特別報道,其中 ESI 高被引論文3篇。授權國際專利一項。獲第二屆博士后創新人才支持計劃。曾作為課題負責人承擔中國博士后科學基金面上項目,參與國家自然科學基金面上項目、企業橫向課題等項目。


分享到:

济州岛娱乐场cns| 云鼎娱乐场送彩金| 澳门百家乐打法百家乐破解方法| bet365贴吧| 全景网百家乐官网的玩法技巧和规则 | 百家乐官网生活馆拖鞋| 免费玩百家乐的玩法技巧和规则| bet365网址搜索器| 百家乐官网电子发牌盒| 威尼斯人娱乐备用622| 百家乐官网群sun811.com| 高级百家乐桌布| 太阳城百家乐官网投注| 鑫鑫百家乐的玩法技巧和规则 | 海威百家乐赌博机| 普洱| 阿玛尼百家乐的玩法技巧和规则| 百家乐官网游戏开发技术| 澳门百家乐有哪些| 百家乐官网视频游戏道具| 威尼斯人娱乐城网站| 做生意风水问题| 百家乐天下| 真人百家乐免费送钱| 百家乐官网变牌桌| 百家乐官网怎么赢9| 太原百家乐的玩法技巧和规则| 百家乐官网的巧门| 金莎娱乐| 大发888游戏客服电话| 百家乐官网能赢到钱吗| 百家乐金海岸软件| 金花百家乐官网娱乐城| 大发888游戏下载官方| 做生意佩戴什么纳财| 立博百家乐官网游戏| 大发888交流心得| 百家乐投注信用最好的| 百家乐官网凯时娱乐场| 百家乐官网有什么打法| 娱乐城送18元体验金|