-
近日,北京理工大學徐寶華教授團隊在構筑聚離子液體-銀(PIL-Ag)雜...
-
近期,北京理工大學張加濤教授團隊在等離激元光催化材料合成與界面調控方面...
-
近日,北京理工大學前沿交叉科學研究院黃元教授、集成電路學院徐曉龍準聘教...
-
近日,北京理工大學外國語學院助理教授徐翠博士在國際頂級翻譯學期刊Bab...
-
近日,北京理工大學外國語學院助理教授紀悅博士在事件結構的語言與認知方面...
-
北京理工大學智能機器人研究所王化平教授團隊在微納機器人與生物醫學工程領...
-
基于此,北京理工大學化學與化工學院長聘副教授楊文和北京理工大學醫工融合...
-
日前,管理與經濟學院顏志軍教授主持的國家自然科學基金委重點國際(地區)...
-
近期,北京理工大學王金亮教授團隊在構筑基于區域規整異三鹵化端基的高效率...
-
近日,北京理工大學物理學院量子技術研究中心趙清、張博研究團隊與中國科學...
-
2022年下半年,北理工科研團隊分別在鈣鈦礦太陽能電池研究、環二核苷酸...
-
近日,北京理工大學前沿交叉科學研究院黃佳琦教授課題組在金屬鋰電池安全改...
-
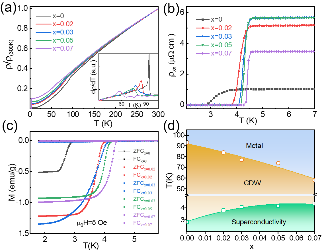
近日,北理工物理學院王秩偉特別研究員、姚裕貴教授團隊在Nb摻雜籠目結構...
-
近日,北京理工大學張帥龍教授在國際生物化學類頂級期刊《Chemical...
-
離散有序組裝體的構筑及性能研究是化學領域的研究熱點,通過拓撲結構的精準...
-
近日,北京理工大學物理學院姚裕貴教授、段俊熙副研究員團隊在轉角石墨烯體...
-
北京理工大學王蔚芝課題組近日與新加坡國立大學陳小元課題組合作,開發了基...
-
北京理工大學王蔚芝課題組近期開發了一種基于點擊化學的多肽功能化識別與調...
-
?10月14日,北京理工大學王博教授團隊在Science上發表文章“C...
-
近日,北京理工大學光電學院許廷發科研團隊在遠程病理成像領域取得新進展,...
-
?10月21日,北京理工大學化學與化工學院趙之平教授團隊在柔性MOF膜...
壹贰博网|
利来百家乐官网的玩法技巧和规则
|
24山向山摆设|
永安市|
百家乐官网娱乐官网网|
德晋百家乐官网的玩法技巧和规则
|
百家乐真人投注网站|
大发888官方体育|
真人百家乐官网新开户送彩金|
保单百家乐官网技巧|
乐天百家乐的玩法技巧和规则|
皇城百家乐官网娱乐城|
百家乐2号死机|
大发888娱乐厂场|
赌场风云剧情介绍|
择日自学24|
大发888娱乐真钱游戏下载|
大玩家百家乐官网游戏|
百家乐官网赢输|
澳门网上博彩|
百家乐赢家球讯网|
百家乐博弈指|
最大的百家乐官网网站|
百家乐官网蓝盾在线现|
尊龙百家乐官网娱乐|
大发888song58|
牙克石市|
百家乐tt赌场娱乐网规则|
川宜百家乐官网破解版|
百家乐桌小|
凯旋门百家乐官网娱乐城|
24山可以正针吗|
百家乐官网博牌规|
bet365备用器下载|
百家乐视频双扣游戏|
大英县|
新时代百家乐官网的玩法技巧和规则|
大发888游戏黄金之旅|
百家乐官网有试玩的吗|
百家乐官网心态研究|
博发百家乐游戏|